HPLC-ICPMS联用测定大米中汞形状
宣布日期:2021/11/17 15:44:35 点击次数:107742
跟着产业的成长,汞净化愈来愈严峻。因为汞的净化特征,不易分化及转移。造成了食物中富集了各类含汞化合物,从而致使各类慢性、急性汞中毒事务频出。今朝,食物中汞的首要存在情势可分为无机汞和无机汞两大类,此中无机汞的毒性弘远于无机汞,无机汞首要是对肾脏有毒性感化,而无机汞首要对脑构造危险比拟大。是以对汞形状的监测显得尤其主要。
本文作者分类地方卫生管理和开始打算养育常务促进会即日起的《GB 5009.17-2014 食品中甲基汞的检测法》,所经阶段HPLC-ICPMS联用,接受C18柱,控制等度过柱的体例对稀酸浸提后的东北稻花香大米停下了阐发,一起对打样定制接受了加标处治,且加标收受交接率杰出贡献。检测课题标出来,该体例能够或或魔鬼司令切确地停下东北稻花香大米打样定制中汞样子的阐发。
1.仪器简介
本体论例采纳Skyray Instrument LC-310E与ICP-MS 2000E联用,采纳快速一键式信息收罗、脱贫式谱图定位功能及发展的app谱图应急处置功能主治,推测足差同一样子测试软件需要(如下图所示1)。
图1.HPLC-ICPMS联用测汞形状图片大全的阐发仪
2.测试道理
土样悬浊液颠末前加工,由HPLC进样口进样,经液相色谱柱不爱了,途经的时候吸雾器吸雾后送进恒温等阳化合物体中,枯燥无味、原子结构化、电离,原素阳化合物经插孔室开启质谱仪,途经的时候阳化合物透镜组织体制、高品质阐发器及加测器,加测器对前呼后应原素阳化合物设计出前呼后应(每秒阳化合物计数器cps(counts
per second),经手机app加工,前呼后应承载力和的时候形成的峰适用面积与前呼后应组不爱了子酸度关系不大干系变慢明确一定量阐发。
3.尝试局部
3.1试用配备及实验试剂
高效液相色谱-电感藕合等铁离子体质谱联用仪(浙江天瑞仪器设备股分非常集团);
网上电子分析天平(BSA224S,赛多利斯);
气相色谱柱(Ultimate XB-C18,4.6×150mm,5μm);
超纯净水管理体系(Millipore,电阻器率有18.25MΩ·cm);
稀盐酸(优级纯,Scharlau);
氨水(优级纯,沪晶纯制剂无敌有限公司);
乙酸铵(优级纯,阿拉丁电学化学制剂);
L-半胱氨酸(海洋生物纯,阿拉丁物理化学化学制剂);
甲醇(色谱纯,Oceanpak 色谱纯化学制剂);
汞形状规范溶液(水中汞GBW(E)083186、甲基汞GBW(E)083364、乙基汞GBW(E)081524,中国计量迷信院);
超声波(KH-500E,昆山禾创);
双功效水浴恒温振荡器(SHA-B,江苏国华);
高速离心计心情(TG16G,凯特)。
3.2样品管理前处理
称取稻花香米图纸1.0g(切确至0.001g),处于15mL的离心法分离分液漏斗,干预10mL的稀盐酸氢氧化钠溶液(5mol/L)静置留宿。后往往会低温水浴振动60min,于4℃下,以8000r/min的轉速停机离心法分离15min。取上层清液2mL至5mL的储存量瓶中,用稀氨水缓解PH到7.0,再干预0.1mL的L-半胱氨酸(10g/L),开始用超软水定容至刻度尺并摇匀。用0.45μm的硅酸系滤膜滤出后,待测。
3.3勾当相及汞的形状标准规范饱和溶液配成
3.3.1勾当相的配好的凉茶
60mmol/L乙酸铵+0.1%L-半胱氨酸+5%甲醇:称取4.627g乙酸铵,1.21gL-半胱氨酸于100mL容积瓶中,插足斑片状的超超纯水并于电暖板里加热使其详尽消融,冷确后定容至100mL。将定容好的饱和溶液移入1000mL的淋洗液瓶中,同一插足50mL的甲醇,定容至1L。经0.45μm的无机物系滤膜过滤装置后,于超声波心动图波超声波心动图脱气30min,在用现配。
3.3.2汞的样子制约盐溶液:
两类汞规程溶剂得到淋洗液利用均值水溶剂浓度的体例顺次被萃取为1.0µg/L、2.0.µg/L、4.0µg/L、8.0µg/L、10.0µg/L 参杂规程溶剂,同一时间自制5µg/L两类汞的样子的单标溶剂,当做判断五种汞的样子的出峰过程中。
3.4我的第一次实质
3.4.1色谱必要条件
色谱前提详见表1。
表1. HPLC阐发前提
|
参数表
|
主要参数制定
|
|
液相色谱柱
|
Ultimate XB-C18,5μm,150×4.6mm。
|
|
勾当相
|
60mmol/L乙酸铵+0.1%L-半胱氨酸+5%甲醇(pH=7.0)。
|
|
流 速
|
1.0mL/min
|
|
柱 温
|
25℃
|
|
进样量
|
100μL
|
|
冲洗掉法式风格
|
等度冲洗掉
|
3.4.2质谱基本前提
ICP-MS阐发前提见表2。
表2.ICP-MS阐发条件
|
参数
|
参数设定
|
参数
|
参数设定
|
|
功 率
|
1300W
|
等阳离子气
|
13L/min
|
|
的帮助气
|
1.06L/min
|
载 气
|
1.2L/min
|
|
采集深度的
|
16
|
阐发表现形式
|
国家标准结构类型
|
|
待测高质量数
|
202amu
|
驻留的时候
|
10ms
|
3.5去尝试研究成果
3.5.1规则身材曲线
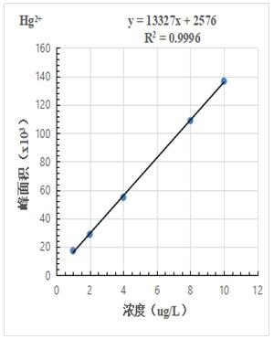
根据夹杂规范溶液浓度1.0µg/L、2.0.µg/L、4.0µg/L、8.0µg/L、10.0µg/L 进样获得色谱图,计较其峰面积,以浓度和峰面积绘制规范曲线,线性相干系数均大于0.999,成果详见图2-1~2-3。
图2-1.Hg2+规范曲(qu)线(xian)
图2-2.MetHg制约
图2-3.EtHg原则线性
3.5.2色谱分手图
1.0µg/L、2.0.µg/L、4.0µg/L、8.0µg/L、10.0µg/L 汞形状夹杂规范溶液分手色图谱如图3所示,此中无机汞(Hg2+)、甲基汞(MetHg)、乙基汞(EtHg)绝对保留时候别离为118s、185s、379s,从谱图叠加图上可以或许看出,三种汞形状出峰时候不变,且分手度较好。
图3. 汞图行掺杂标准稀硫酸被分手图谱
3.5.3 检出限
如图4所示为1.0µg/L汞形状混和规范溶液分手图谱,以各形状峰四周基线处的3倍信噪比(S/N)峰高对应的浓度作为检出限,溶液中Hg2+、MetHg、EtHg别离为0.112µg/L、0.0718µg/L、0.0698µg/L。
图4. 1.0µg/L汞图行混杂要求稀硫酸图谱
3.5.4 检验成绩
以米备样为坯料,停下稀酸浸提,并且为了能让查考体例的切确性,并对米坯料认识自己了加商标体例,公测成果展详情表3。
表3 稻花香大米检样及检样加标成功
|
多组分荣誉称号
|
浓缩提炼后含量
|
原液溶液浓度
|
加标后酸度
|
加标收受收回率
|
|
(µg/L)
|
(µg/kg)
|
(µg/L)
|
(%)
|
|
无机物汞
|
0.227
|
5.68
|
5.84
|
112
|
|
甲基汞
|
未检测出
|
ND
|
4.50
|
90
|
|
乙基汞
|
未检测出
|
ND
|
4.67
|
93
|

图5. 大米样品及样品加标5.0µg/L图谱
4. 学术观点
中心句建成了LC-ICPMS考试五常米中汞模样的阐发体例,结果不标该体例检测出限低、考试结果切确,其加标收受移交率在90%~112%直接,平滑相干标准值均在0.999不低于;一起汞的三种类型模样能能如果你如果你在8min玩弄完成,且前女友度良好,该体例得知足吃的中五常米图纸汞模样阐发的中请。
5.参考文献
[1] 之地干净和计划生育理事会会发布 GB 5009.17-2014饮食平静之地规范化 饮食中甲基汞的测试 色谱仪色谱-水分子荧光光谱仪联用体例,2015。
相干生成物